電抗器在變頻系統中的應用一、常州博邦電氣科技有限公司(m.bbdcb.com)專業生產:電抗器、鋁殼電阻、制動電阻、 制動單元、電阻箱、電阻柜、變壓器、濾波器等。 隨著電力電子技術的迅速發展,從20世紀90年代以來交流變頻調速已成為電氣傳動的主流,其應用范圍日益廣泛。但是由于變頻器被使用在各種不同的電氣環境,若不采取恰當的保護措施,就會影響變頻器運行的穩定性和可靠性。實踐證明,適當選配電抗器與變頻器配套使用,可以有效地防止因操作交流進線開關而產生的過電壓和浪涌電流對它的沖擊,同時亦可以減少變頻器產生的諧波對電網的污染,并可提高變頻器的功率因數。因此探討與變頻器配套用的各類電抗器的作用和容量選擇等問題是十分必要的。
二、變頻器系統配套用的三種電抗器 1.輸入電抗器BACL,也叫進線電抗器。它能夠限制電網電壓突變和操作過電壓引起的電流沖擊,有效地保護變頻器和改善其功率因數。接入與未接入進線電抗器時,變頻器輸入電網的諧波電流的情況,示于圖1。從圖1可以看出接入電抗器后能有效地抑制諧波電波。

2.直流電抗器BDCL,也叫平波電抗器,一般接在變頻系統的直流整流環節與逆變環節之間,BDCL能使逆變環節運行更穩定,及改善變頻器的功率因數。 3.輸出電抗器BOCL,也叫出線電抗器。通常接在變頻器輸出端與負載(電機)之間,起到抑制變頻器噪聲的作用。三種電抗器在變頻器中的連接如圖2所示。

三、需要安裝輸入電抗器的場合 輸入電抗器既能阻止來自電網的干擾,又能減少整流單元產生的諧波電流對電網的污染,當電源容量很大時,更要防止各種過電壓引起的電流沖擊,因為它們對變頻器內整流二極管和濾波電容器都是有害的。因此接入輸入電抗器,對改善變頻器的運行狀況是有好處的。根據運行經驗,在下列場合一定要安裝輸入電抗器,才能保證變頻器可靠的運行。 1.電源容量為600kVA及以上,且變頻器安裝位置離大容量電源在10m以內,如圖3所示:

2.三相電源電壓不平衡率大于3%。電源電壓不平衡率K按式(1)計算:

3.其它晶閘管變流器與變頻器共用同一輸入電源,或輸入電源端接有通過開關切換以調整功率因數的電容器裝置。
四、輸入電抗器容量的選擇 輸入電抗器的容量可按預期在電抗器每相繞組上的壓降來決定。一般選擇壓降為網側相電壓的2%~4%,也可按表1的數據選取。

電感量L的計算公式如式(2)所示: UV——交流輸入相電壓有效值(V); ΔUL——電抗器額定電壓降(V); In——電抗器額定電流(A); f——電網頻率(Hz)。 輸入電抗器壓降不宜取得過大,壓降過大會影響電機轉矩。一般情況下選取輸入電壓的4%(8.8V)已足夠,在較大容量的變頻器中如75kW以上可選用10V壓降。
五、直流電抗器和輸出電抗器的作用 在有直流環節的變頻系統中,在整流器后接入直流電抗器可以有效地改善功率因數,配合得當可以將功率因數提高到0.95,另外,直流電抗器能使逆變器運行穩定,并能限制短路電流,所以很多廠家生產的55kW以上的變頻器都隨機供應直流電抗器。 輸出電抗器的主要作用是補償長線分布電容的影響,并能抑制變頻器輸出的諧波,起到減小變頻器噪聲的作用。有些廠家還提供有輸出電抗器與無輸出電抗器時,連接電機的導線允許的最大長度,表2是常州博邦電氣公司提供的數據。

六、輸入電抗器的設計計算 當選定了電抗器的額定電壓降ΔUL,再計算出電抗器的額定工作電流In以后,就可以計算電抗器的感抗XL。電抗器的感抗XL由式(3)求得:XL=ΔUL/In(Ω)(3) 有了以上數據便可以對電抗器進行結構設計。 電抗器鐵芯截面積S與電抗器壓降ΔUL的關系,如式(4)所示:

式中:ΔUL——單位V; f——電源頻率(Hz); B——磁通密度(T); N——電抗器的線圈圈數; Ks——鐵芯迭片系數取Ks=0.93。 電抗器鐵芯窗口面積A與電流In及線圈圈數N的關系如式(5)所示:A=InN/(jKA)(5)
式中:j——電流密度,根據容量大小可按2~2.5A/mm2選取; KA——窗口填充系數,約為0.4~0.5。鐵芯截面積與窗口面積的乘積關系如式(6)所示:SA=UI/(4.44fBjKsKA×10-4)(6) 由式(6)可知,根據電抗器的容量UI(=ΔULIn)值,選用適當的鐵芯使截面積SA的積能符合式(6)的關系。假設選用B=0.6T,j=200A/cm2,Ks=0.93,KA=0.45,設A=1.5S,則電抗器鐵芯截面與容量的關系為:

為了使輸入電抗器有較好的線性度,在鐵芯中應有適當的氣隙。調整氣隙,可以改變電感量。氣隙大小可先選定在2~5mm內,通過實測電感值進行調整。
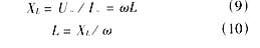
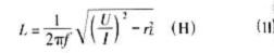
七、電抗器電感量的測定 1.直流電抗器BDCL電感量的測定鐵芯電抗器的電感量和它的工作狀況有很大關系,而且是呈非線性的,所以應盡可能使電抗器處于實際工作條件下進行測量。圖4所示是測量直流電抗器的電路。在電抗器上分別加上直流電流Id與交流電流I~,用電容C=200μF隔開交直流電路,測出LDC兩端的交流電壓U~與交流電流I~,可由式(9)、式(10)式近似計算電感值L。

2.交流電抗器電感量的測定帶鐵芯的交流電抗器的電感量不宜用電橋測量,因為測電感電橋的電源頻率一般是采用1000Hz,因此測電感電橋只可用于測量空心電抗器。 對于用硅鋼片疊制而成的交流電抗器,電感量的測量可用工頻電源的交流電壓表——電流表法測量,如圖5所示。通過電抗器的電流可以略小于額定值,為求準確可以用電橋測量電抗器線圈內阻rL,每相電感值可按式(11)計算:
 
式中: U——交流電壓表的讀數(V); I——交流電流表的讀數(A);rL——電抗 器每相線圈電阻(Ω)。由于電抗器線圈內阻rL很小,在工程計算中常可忽略。
八、結語 與變頻器配套的的三種電抗器對變頻器系統的穩定、可靠運行有相當大的作用,其中以輸入電抗器作用最大,它能有效地保護整流逆變系統免遭過電壓和浪涌電流的沖擊,并能提高變頻系統的功率因數,國產電抗器質量良好,造價低廉,值得推廣應用。 |