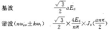
變換器用濾波器的設計 一、引 言 雙饋電機變速恒頻風力發電方案被認為是最有前景的風力發電技術之一。在該方案中兩個背靠背連接的電壓型PWM變換器,構成交-直-交(AC-DC-AC)變換器,通過轉子為雙饋電機提供交流勵磁。網側變換器(AC-DC)是一個三相PWM高功率因數整流器,為轉子側變換器(DC-AC)提供恒定的直流電壓;而轉子側變換器實際上是一個電壓源逆變器,為轉子提供交流勵磁。 變換器輸出連接到雙饋電機的轉子端,存在兩方面問題:第一,考慮到實際現場情況,變換器與轉子之間需要通過長線電纜連接。由于長線電纜存在的分布電感和分布電容,轉子側變換器輸出的PWM電壓波,將產生行波反射現象,在電機端產生過電壓、高頻阻尼振蕩,加劇了電機繞組以及電纜線的絕緣壓力,甚至造成電機或者電纜的絕緣擊穿,嚴重時會使電機燒毀、電纜爆裂。第二,變換器輸出PWM電壓富含開關諧波,實驗表明開關諧波可以通過定轉子之間的氣隙磁場耦合到定子側使得定子感應電壓的諧波含量很高。 解決以上問題的有效方法是在轉子側變換器的輸出端加裝LC正弦波濾波器,將PWM電壓波形濾成近似正弦電壓波形。本文從理論上分析并推導出了濾波器參數和濾波指標的定量關系,提出了濾波器設計原則。并結合一個實例給出了濾波器的設計步驟。 二、濾波器的拓撲結構及參數設計 三相電壓型逆變器輸出的PWM波線電壓的基波和諧波的幅值分別為

式中:Jk為k階貝塞爾函數;Ed為直流母線電壓;a為調制深度;ωsw為載波角頻率(開關角頻率);ω1為基波角頻率。 可見諧波分布在以載波頻率及其整數倍為中心的頻帶上。只要濾波器傳函的轉折頻率遠小于開關頻率,就可以將輸出電壓的高次諧波濾除,再現基波正弦波信號。 當電機運行的時候,雙饋電機轉子繞組可以看成由反電勢構成的電壓源,其內阻抗為轉子漏感和轉子電阻。一般轉子電阻很小可以忽略。變頻器可以看成疊加了高次諧波的基波電壓源。濾波器是針對與變頻器輸出的電壓而言的,根據電路的疊加原理,在濾波器的設計時可以只考慮變頻器電壓分量。因此系統單相等效電路如圖1所示。圖1中,L為濾波電感;Cf為濾波電容;L1為轉子漏感3;uc為逆變器輸出電壓基波分量;uh為逆變器輸出電壓高次諧波分量。

(一)濾波電感基波壓降 在低頻即調制波頻率范圍內,濾波電容的容抗很大,濾波器低頻等效電路如圖2所示。逆變器輸出電壓基波分量uc在電感L上的基波壓降為

選擇濾波電感時首先要考慮到電感上基波壓降不能超過一定的范圍,一般要求濾波電感上的基波壓降不超過3%~5%。 (二)各支路諧波電流之間的關系 考慮高次諧波時,濾波器各支路電流方向定義如圖3所示。

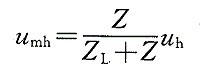
在某一頻率ω下L,和Cf的并聯阻抗z為 (三)電機轉子端諧波電壓 由圖3可知,電機轉子端的諧波電壓為

式中:ZL為濾波電感感抗;z為濾波電容Cf和轉子漏感L1的并聯等效阻抗。
顯然,為了獲得比較好的濾波效果,并聯阻抗Z在顯容性的條件下越小越好,一般遠小于ZL。諧波電壓衰減倍數為

正弦波濾波器實際應用中一般取諧波電壓衰減倍數小于10%。
(四)并聯諧振及其抑制措施 電路中濾波電容Cf與轉子漏感L,容易發生并聯諧振,諧振角頻率為

這種諧振是有害的,為了抑制這種諧振的產生,通常選擇諧振角頻率在合適的位置

式中:ω1為基波角頻率;ωsw為載波角頻率。 進一步有效抑制諧振的措施就是在濾波電容支路串人一定的阻尼電阻,一般為諧振時容抗的三分之一,即Rd =1/(3ωresCf)。實際應用當中,轉子繞組以及線路本身電阻的存在通常可以對諧振起到阻尼作用,并且考慮阻尼電阻的引入會帶來系統功率的損耗,通常可以省去阻尼電阻。 三、設計實例 以轉子漏感L1=37.8 mH的4.5kW雙饋電機為例,考慮實際情況,轉子側變換器調制波的頻率變化范圍為0~15Hz即±30%的轉差;載波頻率為10kHz。下面為LC型正弦波濾波器的設計步驟。 1.取低頻時濾波電感的電壓降不超過5%,由式(1)設計出濾波電感為L=2mH。 2.根據式(2)得出濾波電容的取值范圍為C>0.06μF。 3.取開關諧波電壓的衰減倍數為2%,根據式(4)可以得到濾波電容和轉子漏感的并聯阻抗為Z=2.5SΩ從而可以計算出濾波電容為Cf =6.458μF,實際取Cf=6.8μF。 4.根據實際參數,計算諧振頻率。實際諧振角頻率為ωres=8574.9rad,對應的諧振頻率為fres=1.36kHz,顯然滿足式(6)。 四、實驗結果 根據以上的參數,研制了一套用于雙饋電機轉子側變換器輸出的LC型正弦波濾波器。并做了相應的實驗。實驗波形如圖5~圖10所示。實際濾波器測試實驗條件為:用一臺直流電動機拖動雙饋電機運行于發電狀態,定子帶電阻型負載,轉子側變換器提供交流勵磁;雙饋電機轉速為346r/min,轉子轉差頻率大約為38.5:Hz。

五、結 論 考慮到雙饋電機風力發電系統的實際情況,為了避免PWM電壓的長線傳輸帶來的負面效應,以及防止開關諧波對定子側電壓的影響,設計了一套轉子側變換器輸出LC型正弦波濾波器。實驗證明,達到了預期的目的。 |