解讀制動電阻及其作用(二) 在《解讀制動電阻及其作用(一)》一文中,我們談到制動電阻的作用有:1.在并聯電路中,制動電阻起到分流和限流的作用;2. 在串聯電路中,制動電阻起到分壓和限壓的作用;下面本文將繼續對這一問題進行解讀。
3. 制動電阻在RC電路中起到充電和放電的作用 RC充放電是制動電阻應用的基礎,在電子電路中會常常見到,因此了解RC充放電特性是非常有用的。RC充放電電路如圖2-5所示。圖中開關S原來停留在B點位置,電容器C上沒有電荷,它兩端的電壓等于零。當開關接到A點時.電源E通過R向電容器C充電,在電路接通的瞬間,電容器電壓Vc=0,充電電流最大值等于Z/R。隨著電容器兩極上電荷的積累,Vc逐漸增大,制動電阻R上的電壓Vr =E -Vc,充電電流i=(E—Vc)/R且隨著Vc的增大而越來越小,Vc的上升也越來越慢。當Vc=E時,i=0,充電過程結束。試驗證明,充電過程可用下面公式描述,即

式中:e-自然對數;t-時間。從公式中不難看出,充電過程中Vc和i是按指數規律變化的。而充電的快慢取決于電阻和電容的乘積,因此稱RC為時間常數r,即r=RC。如果R和C的的單位取歐姆和法拉,則r的單位為秒。 根據公式計算在不同時間內的Vc和i,其結果見表2-4。從表中可以看出,r越大充電越慢。當t=3r時,Vc=0.95E;當t=5r時,Vc=0.993E;一般認為當 t=(3-5)r時,電容器上的電荷已被充滿。

利用RC充放電特性可組成很多應用電路,如積分電路、微分電路、去耦電路以及定時電路等。當電路開關S在C充滿電荷后由A端置于B端時,電容C上的電荷通過R放電,其放電也是按指數規律進行的。
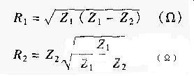
4. 制動電阻具有阻抗匹配的作用 圖2-4所是由制動電阻組成的阻抗匹配衰減器、它接在特性阻抗不同的兩個網絡中間,可以起到匹配阻抗的作用。匹配器中制動電阻的值可由下式確定,即

式中,Z1和Z2為網絡1和網絡2的阻抗,它們分別為300Ω和75Ω。將它們代入上面兩個公式中,則求得RI=259.8Ω,R2=86.6Ω。

本文章由制動電阻http://m.bbdcb.com/原創,如需轉載請注明出處!
|